1、dfs简介.md 1.7 KB

1、什么是图?

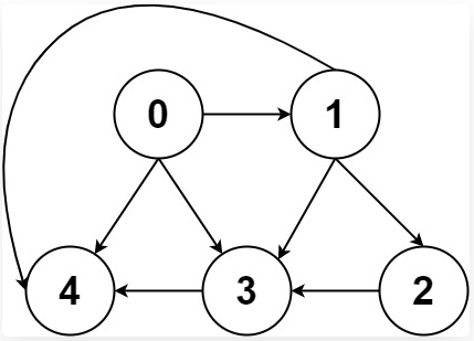
一幅图是由节点构成的,逻辑结构如下:

image-20220922143626656

图一般有两种存储结构分为:

  1. 邻接表

image-20220922144054814

  1. 邻接矩阵

image-20220922144145918

// 邻接表
// graph[x] 存储 x 的所有邻居节点
vector<vector<int>> graph

// 邻接矩阵
// matrix[x][y] 记录 x 是否有一条指向 y 的边
vector<vector<int>> matrix

2、dfs算法模板

void dfs(参数) {
    处理节点;
    if (终止条件) {
        存放结果;
        撤销处理结果;--(可选)
        return;
        // 这里也可以选择不return,那就没有必要撤销了
    }
    for (选择:本节点所连接的其他节点) {
        dfs(图,选择的节点); // 递归
    }
    回溯,撤销处理结果
}

3、dfs和回溯算法的区别

这里先给出回溯算法的模板

void backtracking(参数) {
    if (终止条件) {
        存放结果;
        return;
    }
    for (选择:本层集合中元素(树中节点的数量就是集合的大小)) {
        处理节点;
        backtracking(路径,选择列表); // 递归
        回溯,撤销处理结果
    }
}

相同点:

  • dfs也是回溯算法的一种,都是递归思想的具体体现

不同点:

  • 回溯算法的「做选择」和「撤销选择」在 for 循环里面,而dfs算法在for循环外面
  • 回溯算法关注的不是节点,而是树枝。
  • dfs算法关注节点。是因为一个图可以有独立的节点,他们之间没有边进行连接。